About the Project
7 Error Functions, Dawson’s and Fresnel IntegralsProperties

§7.18 Repeated Integrals of the Complementary Error Function

Contents
  1. §7.18(i) Definition
  2. §7.18(ii) Graphics
  3. §7.18(iii) Properties
  4. §7.18(iv) Relations to Other Functions
  5. §7.18(v) Continued Fraction
  6. §7.18(vi) Asymptotic Expansion

§7.18(i) Definition

7.18.1 i1erfc(z) =2πez2,
i0erfc(z) =erfcz,

and for n=0,1,2,,

7.18.2 inerfc(z)=zin1erfc(t)dt=2πz(tz)nn!et2dt.

§7.18(ii) Graphics

See accompanying text
Figure 7.18.1: Repeated integrals of the scaled complementary error function 2nΓ(12n+1)inerfc(x), n=0,1,2,4,8,16. Magnify

§7.18(iii) Properties

7.18.3 ddzinerfc(z)=in1erfc(z),
n=0,1,2,,
7.18.4 dndzn(ez2erfcz)=(1)n2nn!ez2inerfc(z),
n=0,1,2,.
7.18.5 d2Wdz2+2zdWdz2nW=0,
W(z)=Ainerfc(z)+Binerfc(z),

where n=1,2,3,, and A, B are arbitrary constants.

7.18.6 inerfc(z)=k=0(1)kzk2nkk!Γ(1+12(nk)).
7.18.7 inerfc(z)=znin1erfc(z)+12nin2erfc(z),
n=1,2,3,.

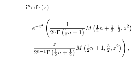
§7.18(iv) Relations to Other Functions

For the notation see §§18.3, 13.2(i), and 12.2.

Hermite Polynomials

7.18.8 (1)ninerfc(z)+inerfc(z)=in2n1n!Hn(iz).

Confluent Hypergeometric Functions

7.18.9 inerfc(z)=ez2(12nΓ(12n+1)M(12n+12,12,z2)z2n1Γ(12n+12)M(12n+1,32,z2)),
7.18.10 inerfc(z)=ez22nπU(12n+12,12,z2).

The confluent hypergeometric function on the right-hand side of (7.18.10) is multivalued and in the sectors 12π<|phz|<π one has to use the analytic continuation formula (13.2.12).

Parabolic Cylinder Functions

Probability Functions

7.18.12 inerfc(z)=12n1π𝐻ℎn(2z).

See Jeffreys and Jeffreys (1956, §§23.081–23.09).

§7.18(v) Continued Fraction

7.18.13 inerfc(z)in1erfc(z)=1/2z+(n+1)/2z+(n+2)/2z+,
z>0.

See also Cuyt et al. (2008, p. 269).

§7.18(vi) Asymptotic Expansion

7.18.14 inerfc(z)2πez2(2z)n+1m=0(1)m(2m+n)!n!m!(2z)2m,
z, |phz|34πδ(<34π).