About the Project
35 Functions of Matrix ArgumentProperties

§35.6 Confluent Hypergeometric Functions of Matrix Argument

Contents
  1. §35.6(i) Definitions
  2. §35.6(ii) Properties
  3. §35.6(iii) Relations to Bessel Functions of Matrix Argument
  4. §35.6(iv) Asymptotic Approximations

§35.6(i) Definitions

Laguerre Form

35.6.3 Lν(γ)(𝐓)=Γm(γ+ν+12(m+1))Γm(γ+12(m+1))F11(νγ+12(m+1);𝐓),
(γ),(γ+ν)>1.

§35.6(ii) Properties

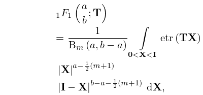
35.6.4 F11(ab;𝐓)=1Bm(a,ba)𝟎<𝐗<𝐈etr(𝐓𝐗)|𝐗|a12(m+1)|𝐈𝐗|ba12(m+1)d𝐗,
(a),(ba)>12(m1).
35.6.5 𝛀etr(𝐓𝐗)|𝐗|b12(m+1)F11(ab;𝐒𝐗)d𝐗=Γm(b)|𝐈𝐒𝐓1|a|𝐓|b,
𝐓>𝐒, (b)>12(m1).
35.6.6 Bm(b1,b2)|𝐓|b1+b212(m+1)F11(a1+a2b1+b2;𝐓)=𝟎<𝐗<𝐓|𝐗|b112(m+1)F11(a1b1;𝐗)|𝐓𝐗|b212(m+1)F11(a2b2;𝐓𝐗)d𝐗,
(b1),(b2)>12(m1).
35.6.7 F11(ab;𝐓)=etr(𝐓)F11(bab;𝐓).
35.6.8 𝛀|𝐓|c12(m+1)Ψ(a;b;𝐓)d𝐓=Γm(c)Γm(ac)Γm(cb+12(m+1))Γm(a)Γm(ab+12(m+1)),
(a)>(c)+12(m1)>m1, (cb)>1.

§35.6(iii) Relations to Bessel Functions of Matrix Argument

§35.6(iv) Asymptotic Approximations

For asymptotic approximations for confluent hypergeometric functions of matrix argument, see Herz (1955) and Butler and Wood (2002).